The National Arts Club was independently audited by a highly reputable accounting firm, M.R. Weiser and Company, stemming from a dispute beginning in 1991 between the James/Leitner administration and 7 club members, over erratic financial reports and an unsolved embezzlement reported in the NY Times.
The group requested of the Board of Governors that they be allowed to examine the Club's books and records, as per the right of members of a not-for-profit organization. The Board fought this request in three separate courts at a cost of over $500,000 to the petitioners and the Club combined. After losing in every court, due partly to the Attorney General's support of the petitioners, the James/Leitner administration was forced to obey the law.

The audit was completed in November 17, 1997. Weiser and Co. labeled the audit "preliminary" because of the tremendous level of non-cooperation on the part of the administration. When the petitioners returned to court to request an additional opportunity to gather any remaining missing information, Justice Omansky suggested two courses of action: either a class action suit which requires the support of 5% of the membership, or the intervention of a governmental agency (i.e., the Attorney General). Excerpts from the Weiser Audit, reported in May 2001 in the Town & Village newspaper,
led the New York City Department of Finance and New York State Liquor Authority to commence investigations into the financial operations of the Club.

The Weiser Audit found considerable questions concerning the high legal expenditures of the James/Leitner administration, the peculiar lack of any reported income from the entire Dining Room/catering operation within its premises, and the lack of information concerning donations made to The National Arts Club, a charitable institution. Below is the Weiser summary of their findings, followed by several key exhibits from the audit. The entire report is on public record and available for inspection.
Click for Main Menu
Back to  Main Menu
Back to Laws, etc. Menu
Click for Laws, etc. Menu
Back to Laws, etc. Menu
Back to  Main Menu
Click for Main Menu
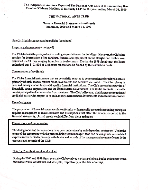
The Weiser Report audit noted in 1997 that there is no reported revenue coming to The NAC from the Dining Room's business. The James/Leitner administration confirms this itself as is contained in its own recent official audit below.
Below is a copy of the Weiser Audit's summary of findings. Of particular interest are the sections pertaining to the Dining Room, Restoration Fund, legal expenses and an exchange account for Aldon James and John James.
Click for Laws, etc. Menu
Below are excerpted exhibits from the Weiser Audit illustrating that during the Aldon James/Steven Leitner administration The NAC spent over 26% of its general and administrative expense on legal expenses during the years 1991-1997 -- a 346% increase over the years 1986-1989.